
Statistics For Research Wiley Series In Probability And Statistics Applied Probability And Statistics Section By Shirley Dowdy Stanley Wearden Good 1983 Bookholders

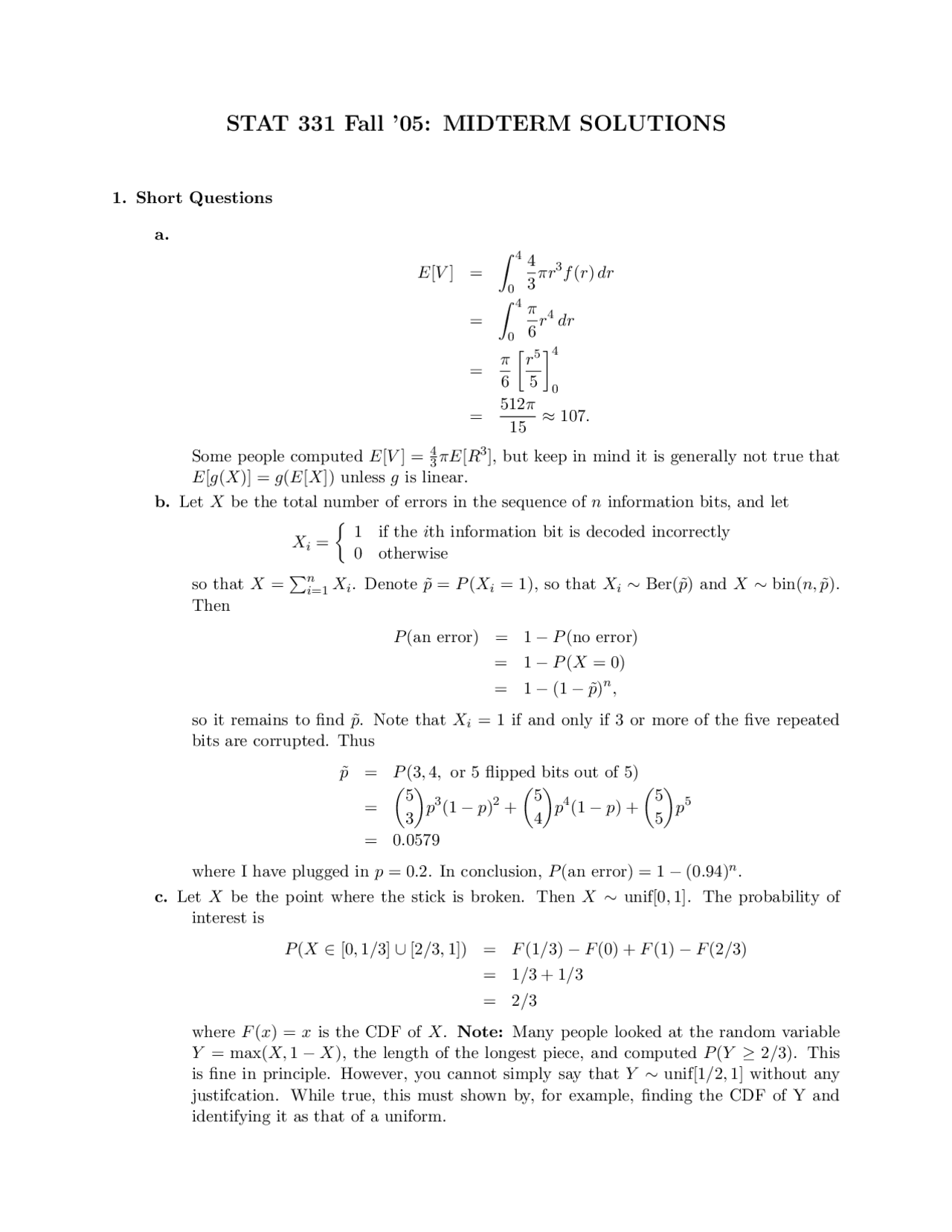
Midterm Solutions Applied Probability Stat 331 Docsity
Chinese Journal Of Applied Probability And Statistics


Ma5160 Applied Probability And Statistics 3 Recent Question Paper

Amazon Com Athens Conference On Applied Probability And Time Series Analysis Volume I Applied Probability In Honor Of J M Gani Lecture Notes In Statistics 114 9780387947884 Heyde C C Prohorov Yu V Pyke Ronald Rachev

Applied Probability Kenneth Lange 9781441971647

Appendix A Statistical Tables And Charts Applied Statistics And Probability For Engineers 6th Edition Book

Test 1 Questions For Applied Probability And Statistics I Stat 400 Docsity

Ma5160 Applied Probability And Statistics Recent Question Paper

Mf7165 Applied Probability And Statistics M E Manufacturing Anna University Chennai 01st Semester January 2015 Question Paper University Question Papers

Tutorial 3 The Department Of Statistics And Applied Probability Nus